سیستمهای اطفای حریق گازی یکی از روشهای مدرن برای خاموشکردن آتش هستند. یکی از گازهای پُرکاربرد در اطفای حریق، گاز FM200 (با نام شیمیایی HFC-227ea) است. این گاز با مکانیزم شیمیایی و فیزیکی، شعله آتش را خاموش میکند. یکی از مزیتهای این گاز خاموشی حریق بدون برجای گذاشتن باقیمانده (پسماند) یا آسیب به تجهیزات، است. سیستم اطفای حریق FM200 برای فضاهایی استفاده میشود که در آنها استفاده از آب یا مواد پودری مجاز نیست مانند اتاقهای سرور، کنترل و مراکز داده و…!
عملکرد درست و اصولی این سیستم، نیازمند طراحی درست آن است و طراحی درست آن نیز بستگی به محاسبه دقیق مقدار گاز مورد نیاز دارد. محاسبه دقیق با توجه به شرایط محیط، حجم فضا، غلظت طراحی، دما، فشار و نشتی اهمیت دارد. برای آشنایی و یادگیری نحوه محاسبه حجم گاز FM200، محتوای حاضر را مطالعه کنید.
مفاهیم پایه در محاسبه حجم گاز FM200
برای اینکه بتوانیم وزن مورد نیاز FM200 را محاسبه کنید، باید از پارامترها و مفاهیم پایه در این حوزه آشنا باشید. در ادامه بهطور مختصر مفاهیم پایه محاسبه حجم گاز FM200 را ارائه دادیم:
- حجم خالص فضای حفاظت شده (V): یعنی مترمکعب فضای قبل از اشغال یا حجم تجهیزات، که باید عامل با آن کار کند.
- غلظت طراحی (C): درصد حجمی گاز نسبت به حجم فضا که برای خاموشکردن آتش نیاز است.
- حجم ویژه بخار گاز (S): یعنی میزان مترمکعبی که هر کیلوگرم گاز در حالت بخار میگیرد، تابع دما است.
- دمای محیط (T): در دماهای پایینتر، غلظت مورد نیاز یا وزن گاز ممکن است بیشتر شود.
- ضریب تصحیح ارتفاع: اگر فضا در ارتفاع بالاتر از سطح دریا باشد، ممکن است لازم باشد وزن گاز را افزایش دهید.
- عوامل نشتی، تهویه، ساختار فضا: اگر فضای حفاظتشده نشتی دارد یا تهویه قوی دارد یا سقف بلند است، این خصوصیات باید در محاسبه اعمال شوند.
بررسی فرمول محاسبه وزن گاز
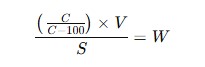
یکی از فرمولهایی که به طور معمول استفاده میشود، در تصویر زیر قابل مشاهده است:

صورت خطی فرمول:
W = (V * (C / (100 – C))) / S
حروفی که در این فرمول قرار دارند:
- W = وزن عامل مورد نیاز (کیلوگرم)
- V = حجم خالص فضا (مترمکعب)
- C = غلظت طراحی (درصد)
- S = حجم ویژه بخار (مترمکعب بر کیلوگرم)
وزن گاز FM200 مورد نیاز (W) از حاصلضرب حجم فضای حفاظتشده (V) در نسبت غلظت طراحی (C) به تفاوت ۱۰۰ منهای همان غلظت (100 – C) بهدست میآید، سپس حاصل تقسیم بر حجم ویژه گاز (S) میشود.
به زبان سادهتر:
ابتدا نسبت غلظت طراحی به مقدار باقیمانده از ۱۰۰ محاسبه میشود. یعنی چه سهمی از فضا باید با گاز پر شود! سپس این نسبت را در حجم فضای حفاظتشده ضرب کرده تا حجم مؤثر گاز بهدست آید. در نهایت، آن مقدار را بر حجم ویژه گاز (که به دما بستگی دارد) تقسیم کنید تا وزن واقعی گاز مورد نیاز بر حسب کیلوگرم محاسبه شود.
نکتههای مهم و عوامل مؤثر بر محاسبه و طراحی سیستم گاز FM200
تنها دانستن فرمول محاسبه و مفاهیم پایه حائز اهمیت نیست. بلکه باید برای افزایش ایمنی و تاثیر سیستم گاز FM200 به مواردی مانند دمای محیط، ارتفاع از سطح دریا، نشتی و تهویه فضا و … توجه کنید. در جدول زیر بهطور دقیق و جامع این عوامل موثر را بررسی کردیم:
| عامل مؤثر | توضیحات |
| دمای محیط | هرچه دما کمتر باشد، حجم ویژه بیشتر شده و ممکن است وزن بیشتری از گاز FM200 نیاز شود. |
| ارتفاع از سطح دریا | در ارتفاع بالا، چگالی هوا کمتر است و عملکرد عامل ممکن است متفاوت شود؛ بنابراین باید ضریب ارتفاع اعمال گردد. |
| نشتی و تهویه فضا | اگر تهویه قوی باشد یا فضای حفاظتشده دچار نشتی باشد، لازم است وزن گاز افزایش یابد تا غلظت مورد نیاز حفظ شود. |
| حجم اشغال شده توسط تجهیزات یا سقفهای کاذب | این موارد حجم خالص فضا را کاهش میدهند؛ بنابراین حجم واقعی محاسبه شده باید اصلاح شود. |
| کلاس حریق (خطر) | بسته به نوع مواد قابل اشتعال (کلاس A، B یا C)، غلظت طراحی متفاوت است و باید در محاسبه لحاظ شود. |
| زمان تخلیه | بهطور معمول سیستم باید گاز را در چند ثانیه (معمولاً کمتر از ۱۰ ثانیه) تخلیه کند تا عملکرد مؤثر داشته باشد. |
برخی از نکتهها هستند که در واقع الزامات طراحی سیستم FM200 محسوب میشوند که عبارتند از موارد زیر:
- غلظت طراحی برای FM200 بهطور معمول بین حدود ۷ تا ۹ درصد حجم فضا در نظر گرفته میشود.
- طراحی باید بهگونهای باشد که غلظت مورد نیاز برای حداقل زمان تعیین شده حفظ شود.
- قبل از راهاندازی، تست میزان نشتی اتاق ضروری است تا از انباشت گاز در مدت لازم اطمینان حاصل شود.
- لولهکشی، سیلندرها، نازلها و تجهیزات دیگر باید با توجه به راهنمای سازنده و استاندارد مربوطه طراحی شوند.
- در انتخاب سیلندر و تعداد نازلها، باید وزن و زمان تخلیه محاسبه شده را با ظرفیت عملیاتی مطابقت داد.
جمعبندی
محاسبه دقیق وزن گاز FM200 برای عملکرد مؤثر سیستم اطفای حریق در واقع یکی از اساسیترین اقدامها به حساب میآید. وقتی فضای حفاظت شده، دما، غلظت طراحی و شرایط محیطی بهطور دقیق و واضح تعیین شود، میتوان وزن عامل را با استفاده از فرمول ذکر شده در مقاله، محاسبه و سیستم را بهینه طراحی کرد.
بهطور کلی حجم دقیق گاز FM200 برابر است با حجم فضا، ضرب در نسبت غلظت گاز، تقسیم بر حجم ویژه گاز! با این حال، اگر محاسبه نادرست باشد یا نشتی لولهها یا تهویه قوی نادیده گرفته شود، عملکرد سیستم ممکن است با خطر مواجه شود.
